covid 19 bas st laurent
Masking Lack Of Evidence With Politics The Centre For Evidence Based Medicine From Pinterest

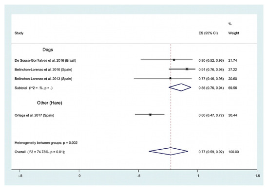
Ijms Free Full Text Noninvasive Biological Samples To Detect And Diagnose Infections Due To Trypanosomatidae Parasites A Systematic Review And Meta Analysis Html

Viruses Free Full Text Characterization Of Novel Rhabdoviruses In Chinese Bats Html

Https Www La Croix Com Vendee Globe Premier Cap Vue Dalin 2020 11 30 1301127416 2020 12 01t00 54 31 01 00 Https I La Croix Com X 2020 11 30 1301127416 Skipper Kevin Escoffier Prb Depart Vendee Globe Sables Olonne 8 Novembre 2020 0

Pharmaceutics Free Full Text Mesoporous Silica Particles As Drug Delivery Systems The State Of The Art In Loading Methods And The Recent Progress In Analytical Techniques For Monitoring These Processes Html
Kneqyh1 Ucaxbm

20 Beaches To Visit In Eastern Quebec

Pdf Sars Cov 2 Vaccination Modelling For Safe Surgery To Save Lives Data From An International Prospective Cohort Study

Viruses Free Full Text Characterization Of Novel Rhabdoviruses In Chinese Bats Html

Viruses Free Full Text Characterization Of Novel Rhabdoviruses In Chinese Bats Html

Ijms Free Full Text Noninvasive Biological Samples To Detect And Diagnose Infections Due To Trypanosomatidae Parasites A Systematic Review And Meta Analysis Html

Viruses Free Full Text Characterization Of Novel Rhabdoviruses In Chinese Bats Html
The Population Ecology Of Organizations American Journal Of Sociology Vol 82 No 5

Deux Nouveaux Cas De Covid 19 Comptabilises Au Bas Saint Laurent Infodimanche Com

Ijms Free Full Text Noninvasive Biological Samples To Detect And Diagnose Infections Due To Trypanosomatidae Parasites A Systematic Review And Meta Analysis Html
![]()
Pdf Sentinel 2 Data For Land Cover Use Mapping A Review

Pdf The Impact Of Monetary Policy On Gold Price Dynamics

Search E Flux

Viruses Free Full Text Characterization Of Novel Rhabdoviruses In Chinese Bats Html
2

Https Www La Croix Com Vendee Globe Premier Cap Vue Dalin 2020 11 30 1301127416 2020 12 01t00 54 31 01 00 Https I La Croix Com X 2020 11 30 1301127416 Skipper Kevin Escoffier Prb Depart Vendee Globe Sables Olonne 8 Novembre 2020 0

Ijms Free Full Text Noninvasive Biological Samples To Detect And Diagnose Infections Due To Trypanosomatidae Parasites A Systematic Review And Meta Analysis Html

G Star Raw Warehouse Sale Up 75 Off Allsales Ca

Deux Nouveaux Cas De Covid 19 S Ajoutent Au Bilan Du Bas Saint Laurent Radio Canada Ca

Manoir St Laurent Retirement Home Montreal

Ijms Free Full Text Noninvasive Biological Samples To Detect And Diagnose Infections Due To Trypanosomatidae Parasites A Systematic Review And Meta Analysis Html

Search E Flux

Pharmaceutics Free Full Text Mesoporous Silica Particles As Drug Delivery Systems The State Of The Art In Loading Methods And The Recent Progress In Analytical Techniques For Monitoring These Processes Html

Ijms Free Full Text Noninvasive Biological Samples To Detect And Diagnose Infections Due To Trypanosomatidae Parasites A Systematic Review And Meta Analysis Html

Accueil Cegep De Saint Laurent

Masking Lack Of Evidence With Politics The Centre For Evidence Based Medicine

Un Premier Cas De Covid 19 A La Prison Talbot De Sherbrooke Coronavirus Radio Canada Ca

Pdf Effects Of Pre Operative Isolation On Postoperative Pulmonary Complications After Elective Surgery An International Prospective Cohort Study

Nouvelles Seances De Vaccination Sans Rendez Vous Au Bas Saint Laurent Radio Canada Ca

Manoir St Laurent Retirement Home Montreal
2

Ijms Free Full Text Noninvasive Biological Samples To Detect And Diagnose Infections Due To Trypanosomatidae Parasites A Systematic Review And Meta Analysis Html

Https Www La Croix Com Vendee Globe Premier Cap Vue Dalin 2020 11 30 1301127416 2020 12 01t00 54 31 01 00 Https I La Croix Com X 2020 11 30 1301127416 Skipper Kevin Escoffier Prb Depart Vendee Globe Sables Olonne 8 Novembre 2020 0

20 Beaches To Visit In Eastern Quebec

Search E Flux






